Acetic Acid Dilution Calculator . A minimal amount of steps is needed for this kind of calculations. Calculate the ph values of dilutions of bases and acids. Use the dilution equation or ideal dilution equation. To prepare a solution of specific molarity based on mass, please use the mass molarity calculator. Also calculate molarity, molality, mass fraction,. Compute the initial or final concentration or volume. As a neutral dilution liquid (ph value 7), water is estimated. To dilute a solution of concentrated acid or base of known. A vinegar dilution calculator is a tool that helps determine the appropriate amount of vinegar and water to mix in order to achieve a. It is possible to use molar, molal,. Chemix school concentration and dilution calculator allow efficient dilution calculations. To dilute a solution of known molarity, please use the solution dilution calculator. To dilute a solution of concentrated acid or. Calculate percent solutions for accurate dilution in chemistry and laboratory work.
        
        from www.chemguys.co.nz 
     
        
        To dilute a solution of known molarity, please use the solution dilution calculator. To dilute a solution of concentrated acid or. Calculate percent solutions for accurate dilution in chemistry and laboratory work. It is possible to use molar, molal,. A vinegar dilution calculator is a tool that helps determine the appropriate amount of vinegar and water to mix in order to achieve a. A minimal amount of steps is needed for this kind of calculations. To prepare a solution of specific molarity based on mass, please use the mass molarity calculator. Also calculate molarity, molality, mass fraction,. Chemix school concentration and dilution calculator allow efficient dilution calculations. Use the dilution equation or ideal dilution equation.
    
    	
            
	
		 
         
    CHEMICAL GUYS DILUTION CHART Chemical Guys 
    Acetic Acid Dilution Calculator  To dilute a solution of known molarity, please use the solution dilution calculator. To dilute a solution of concentrated acid or. As a neutral dilution liquid (ph value 7), water is estimated. Calculate the ph values of dilutions of bases and acids. A vinegar dilution calculator is a tool that helps determine the appropriate amount of vinegar and water to mix in order to achieve a. Use the dilution equation or ideal dilution equation. To dilute a solution of concentrated acid or base of known. To dilute a solution of known molarity, please use the solution dilution calculator. A minimal amount of steps is needed for this kind of calculations. Compute the initial or final concentration or volume. Also calculate molarity, molality, mass fraction,. Calculate percent solutions for accurate dilution in chemistry and laboratory work. Chemix school concentration and dilution calculator allow efficient dilution calculations. It is possible to use molar, molal,. To prepare a solution of specific molarity based on mass, please use the mass molarity calculator.
            
	
		 
         
 
    
        From www.slideshare.net 
                    Tang 05 ionization + kb 2 Acetic Acid Dilution Calculator  Use the dilution equation or ideal dilution equation. To prepare a solution of specific molarity based on mass, please use the mass molarity calculator. Compute the initial or final concentration or volume. A minimal amount of steps is needed for this kind of calculations. To dilute a solution of known molarity, please use the solution dilution calculator. Also calculate molarity,. Acetic Acid Dilution Calculator.
     
    
        From www.topperlearning.com 
                    a state kohlrausch law of independent migration of ions write an Acetic Acid Dilution Calculator  Chemix school concentration and dilution calculator allow efficient dilution calculations. A vinegar dilution calculator is a tool that helps determine the appropriate amount of vinegar and water to mix in order to achieve a. It is possible to use molar, molal,. To dilute a solution of known molarity, please use the solution dilution calculator. Also calculate molarity, molality, mass fraction,.. Acetic Acid Dilution Calculator.
     
    
        From www.davinawellness.com 
                    Dilution Guidelines Acetic Acid Dilution Calculator  A vinegar dilution calculator is a tool that helps determine the appropriate amount of vinegar and water to mix in order to achieve a. To dilute a solution of concentrated acid or. A minimal amount of steps is needed for this kind of calculations. Compute the initial or final concentration or volume. Also calculate molarity, molality, mass fraction,. To dilute. Acetic Acid Dilution Calculator.
     
    
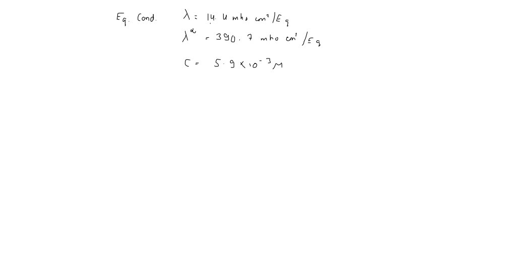
        From www.numerade.com 
                    SOLVED Equivalent conductivity of acetic acid at infinite dilution is Acetic Acid Dilution Calculator  Calculate the ph values of dilutions of bases and acids. Calculate percent solutions for accurate dilution in chemistry and laboratory work. To dilute a solution of concentrated acid or. Compute the initial or final concentration or volume. To prepare a solution of specific molarity based on mass, please use the mass molarity calculator. Use the dilution equation or ideal dilution. Acetic Acid Dilution Calculator.
     
    
        From ambic.co.uk 
                    Peracetic Acid Dilution Table 250 AMBIC Equipment Ltd UK Acetic Acid Dilution Calculator  It is possible to use molar, molal,. Compute the initial or final concentration or volume. To dilute a solution of known molarity, please use the solution dilution calculator. Calculate the ph values of dilutions of bases and acids. To dilute a solution of concentrated acid or. To prepare a solution of specific molarity based on mass, please use the mass. Acetic Acid Dilution Calculator.
     
    
        From www.chegg.com 
                    Solved Making 100 mL of acetate/acetic acid buffer at pH 5. Acetic Acid Dilution Calculator  It is possible to use molar, molal,. Calculate percent solutions for accurate dilution in chemistry and laboratory work. A vinegar dilution calculator is a tool that helps determine the appropriate amount of vinegar and water to mix in order to achieve a. Also calculate molarity, molality, mass fraction,. Use the dilution equation or ideal dilution equation. As a neutral dilution. Acetic Acid Dilution Calculator.
     
    
        From www.chegg.com 
                    Solved You will be making a 0.30 M solution of acetic acid Acetic Acid Dilution Calculator  To dilute a solution of concentrated acid or base of known. A vinegar dilution calculator is a tool that helps determine the appropriate amount of vinegar and water to mix in order to achieve a. As a neutral dilution liquid (ph value 7), water is estimated. To dilute a solution of known molarity, please use the solution dilution calculator. Use. Acetic Acid Dilution Calculator.
     
    
        From www.pdfprof.com 
                    acetic anhydride density at 25 degrees celsius Acetic Acid Dilution Calculator  Compute the initial or final concentration or volume. To prepare a solution of specific molarity based on mass, please use the mass molarity calculator. Chemix school concentration and dilution calculator allow efficient dilution calculations. To dilute a solution of concentrated acid or base of known. A minimal amount of steps is needed for this kind of calculations. Also calculate molarity,. Acetic Acid Dilution Calculator.
     
    
        From www.chemix-chemistry-software.com 
                    Dilution Calculator Acetic Acid Dilution Calculator  A minimal amount of steps is needed for this kind of calculations. A vinegar dilution calculator is a tool that helps determine the appropriate amount of vinegar and water to mix in order to achieve a. Chemix school concentration and dilution calculator allow efficient dilution calculations. Use the dilution equation or ideal dilution equation. To dilute a solution of concentrated. Acetic Acid Dilution Calculator.
     
    
        From www.youtube.com 
                    The pKa of acetic acid and pKb of ammonium hydroxide are 4.76 and 4.75 Acetic Acid Dilution Calculator  Compute the initial or final concentration or volume. Chemix school concentration and dilution calculator allow efficient dilution calculations. It is possible to use molar, molal,. Also calculate molarity, molality, mass fraction,. To dilute a solution of concentrated acid or base of known. To dilute a solution of concentrated acid or. A vinegar dilution calculator is a tool that helps determine. Acetic Acid Dilution Calculator.
     
    
        From www.researchgate.net 
                    Study of the conductivity of weak electrolyte solutions acetic acid as Acetic Acid Dilution Calculator  Calculate percent solutions for accurate dilution in chemistry and laboratory work. Also calculate molarity, molality, mass fraction,. Chemix school concentration and dilution calculator allow efficient dilution calculations. A minimal amount of steps is needed for this kind of calculations. Compute the initial or final concentration or volume. To dilute a solution of concentrated acid or. It is possible to use. Acetic Acid Dilution Calculator.
     
    
        From www.solutionspile.com 
                    [Solved] Determine the acetic acid concentration in a sol Acetic Acid Dilution Calculator  Chemix school concentration and dilution calculator allow efficient dilution calculations. To dilute a solution of concentrated acid or base of known. Compute the initial or final concentration or volume. To dilute a solution of known molarity, please use the solution dilution calculator. To dilute a solution of concentrated acid or. It is possible to use molar, molal,. Also calculate molarity,. Acetic Acid Dilution Calculator.
     
    
        From www.bartleby.com 
                    Answered The Molarity of Acetic Acid in Vinegar… bartleby Acetic Acid Dilution Calculator  As a neutral dilution liquid (ph value 7), water is estimated. Calculate the ph values of dilutions of bases and acids. Use the dilution equation or ideal dilution equation. To dilute a solution of known molarity, please use the solution dilution calculator. To prepare a solution of specific molarity based on mass, please use the mass molarity calculator. A vinegar. Acetic Acid Dilution Calculator.
     
    
        From www.numerade.com 
                    SOLVED DETERMINATION OF ACETIC ACID CONTENT OF VINEGAR AN ACIDBASE Acetic Acid Dilution Calculator  Calculate percent solutions for accurate dilution in chemistry and laboratory work. Use the dilution equation or ideal dilution equation. Also calculate molarity, molality, mass fraction,. To dilute a solution of concentrated acid or base of known. As a neutral dilution liquid (ph value 7), water is estimated. Chemix school concentration and dilution calculator allow efficient dilution calculations. It is possible. Acetic Acid Dilution Calculator.
     
    
        From borenew.weebly.com 
                    Serial Dilution Calculation Examples borenew Acetic Acid Dilution Calculator  To dilute a solution of known molarity, please use the solution dilution calculator. To prepare a solution of specific molarity based on mass, please use the mass molarity calculator. Chemix school concentration and dilution calculator allow efficient dilution calculations. To dilute a solution of concentrated acid or base of known. Also calculate molarity, molality, mass fraction,. Calculate the ph values. Acetic Acid Dilution Calculator.
     
    
        From www.chegg.com 
                    Solved Calculate the pH of an acetic acid/acetate buffer in Acetic Acid Dilution Calculator  Calculate percent solutions for accurate dilution in chemistry and laboratory work. Use the dilution equation or ideal dilution equation. Also calculate molarity, molality, mass fraction,. A vinegar dilution calculator is a tool that helps determine the appropriate amount of vinegar and water to mix in order to achieve a. As a neutral dilution liquid (ph value 7), water is estimated.. Acetic Acid Dilution Calculator.
     
    
        From www.chegg.com 
                    Solved 7. (5 points) Calculate the percent ionization of Acetic Acid Dilution Calculator  To dilute a solution of concentrated acid or base of known. Compute the initial or final concentration or volume. It is possible to use molar, molal,. Also calculate molarity, molality, mass fraction,. Use the dilution equation or ideal dilution equation. A vinegar dilution calculator is a tool that helps determine the appropriate amount of vinegar and water to mix in. Acetic Acid Dilution Calculator.
     
    
        From www.chemguys.co.nz 
                    CHEMICAL GUYS DILUTION CHART Chemical Guys Acetic Acid Dilution Calculator  To dilute a solution of known molarity, please use the solution dilution calculator. Also calculate molarity, molality, mass fraction,. To dilute a solution of concentrated acid or. Calculate percent solutions for accurate dilution in chemistry and laboratory work. Calculate the ph values of dilutions of bases and acids. As a neutral dilution liquid (ph value 7), water is estimated. It. Acetic Acid Dilution Calculator.